hvac terminal unit definition

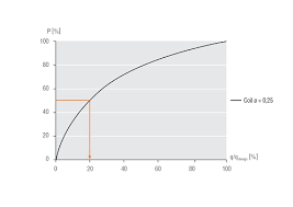
Heating and cooling systems in modern buildings use terminal units like fan-coils and chilled beams to create requested room temperature comfort. Ratio between output power and flow of typical HVAC coil is not linear, see the graph below. 80% of heating or cooling season represents power requirements below 60% and coils can operate with flow rate up to 50%. Why is HVAC system optimization important? Optimizing hydronic distribution within a HVAC system reduces energy consumption and improves the control and delivery of comfort within a building. The most cost-effective solution, the effects of system optimisation are immediate and substantial. Choice of control & balancing solution The type of control and balancing solution directly influences the precision of temperature control, global flow and the pump head. The choice of control mode, 2 way or 3 way valves and on/off or modulating control, influence directly the return temperature for the heat sources (condensing boilers, chillers, heat pumps etc.).

3-way valves with bypasses deliver heating or cooling water away from terminal units back to heat sources. This negatively impacts overall energy efficiency. It is generally recommended to use 2-way control valves and variable flow systems. In such systems, the pump speed is electronically controlled and variable. The flow rate constantly changes in response to power demand. When the required room temperature is reached, 2 way control valves shut-off or decrease flow (according to actuator type), subsequently reducing energy.
lg air conditioner repair service in hyderabad Modulating control requires a proportional control signal from room temperature control or BMS, and a precise control valve with proportional actuator.
soleus ac units Proportional control signals are usually in the range of voltage 0-10V, 2-10V or current 0-20mA, 4-20mA (all can be reversed).
what size capacitor for a 3 ton ac unit

The control system produces a control signal from 0% up to 100% to deliver the necessary output power to keep temperature constant. The proportional actuator has to open the control valve smoothly to deliver the required flow (hence temperature) precisely. Advantages of modulating control: Low flow rate with low pumping costs. Low energy losses in return pipes. High energy efficiency of heat sources. As already described, HVAC coils require a large drop of design flow to influence output power from 100% up to 50%. But highly precise flow control is required for output power from 50% up to minimum. The shape of the characteristic in this area is steep as shown below. In order to achieve perfect, precise temperature control, pressure independent control valves with an equal-percentage characteristic must be used. This will ensure good response on flow rate when output power below 50% is controlled. What makes the new TA-Modulator unique? When developing TA-Modulator, we paid particular attention in ensuring that we could maintain high controlability with precise flow control.

This resulted in our new control insert with uniquely shaped EQM characteristic which provides better stroke control. That is up to 6 times better when compared to a linear valve. TA-Modulator is designed for proportional or 3-point control on all applications requiring tighter temperature control whilst offering energy savings. TA-Modulator also works well on oversized terminal units. In contrast to other valves on the market, TA-Modulator is able to measure both the pressure and the true flow through the valve. It is therefore easier to verify the functionality of the installation before the handover, to correctly adjust the pumps via index valve in order to minimize energy costs and to locate any potential errors or malfunctions. The new TA-Modulator is a pressure independent valve and keeps almost constant pressure difference on the control valve. The benefits of this approach are: Pressure independent design flow limitation In contrast to other valves on the market, TA-Modulator is able to measure both the available pressure and the true flow through the valve.

It is therefore easier to verify the functionality of the installation before the handover, to correctly adjust the pumps via the index valve in order to minimize energy costs and to locate any potential errors or malfunctions. To find out more about this new and unique Modulating Valve from IMI TA, please contact a member of our team. In on-off control mode, the control valve coupled with an on-off actuator delivers either maximum output or is fully closed. It is necessary to set the temperature differential between set points on and off with respect to desired temperature. With the heating signal 'on' the temperature rises (and in cooling it decreases) until temperature exceeds the set point. The control signal then stays off and the valve is closed until the temperature falls (in cooling- increases) through differential to the lower set limit. The temperature may continue to increase in heating systems due to the volume of hot water (for example in radiators) that is still delivering energy into room.

On-off control results in oscillations and swings of temperature. The swing may be reduced by lower temperature differential but it increases the number of switching points and decreases longevity of control elements through their excessive use. The principle of on-off control Delivering only the maximum flow to terminal units in operation has impact on return temperature. The high speeds of the water do not allow the transmission of energy through the coil to the air. Disadvantages of on-off control: Higher flow rate in entire installation with higher pumping costs. Negatively affected return temperature. Higher energy losses in return pipes. Lower energy efficiency of heat sources. Speak to an ExpertThe ahu tag is used model air handling equipment designed to heat or cool air. In Project Haystack, packaged rooftop units are considered a special class of AHU. Packaged units use the ahu tag, but should also specify the rooftop tag: AHUs should always be marked as ahu and equip.